台中市腦性麻痺關懷協會
最新消息
關於協會
認識腦麻
服務內容
愛心專區
聯絡我們
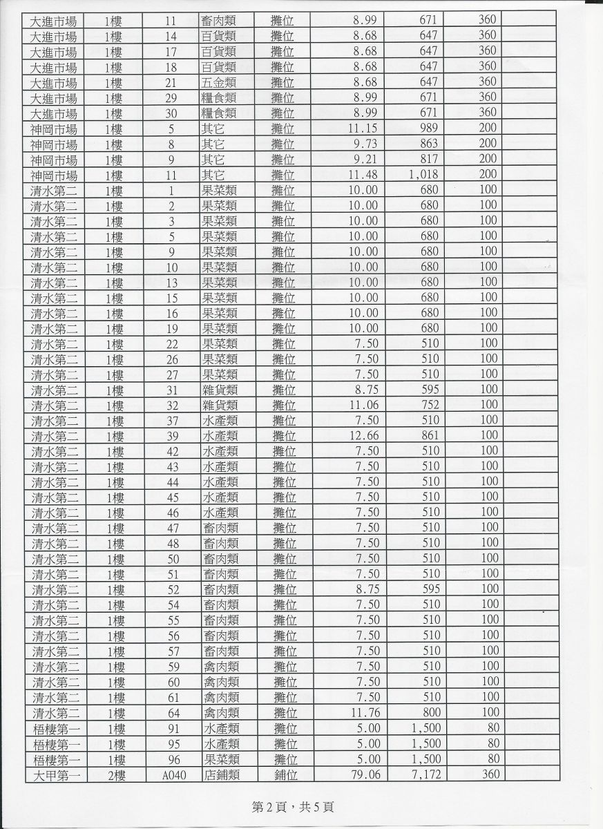
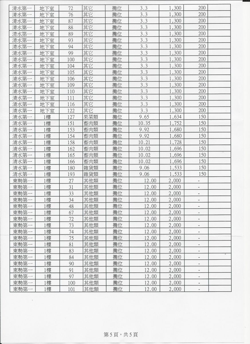
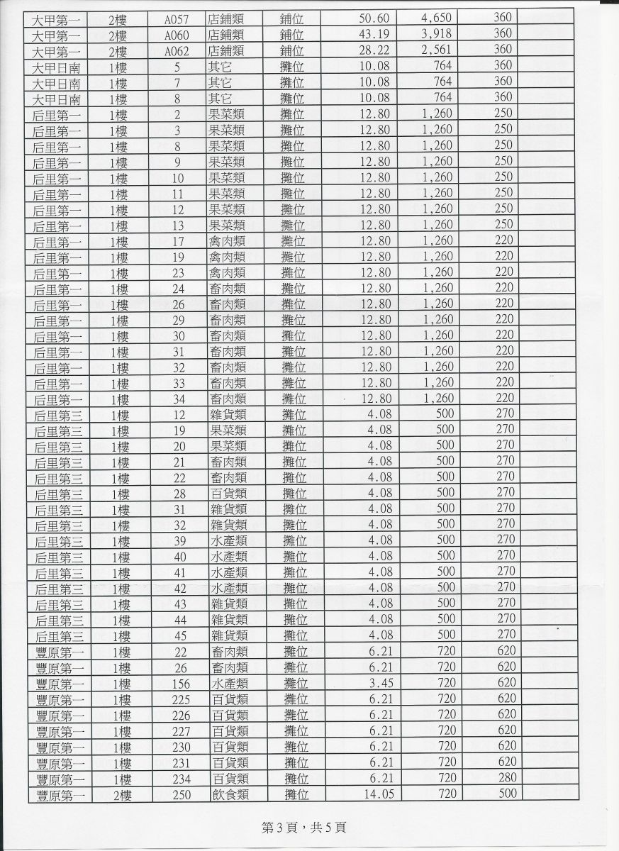
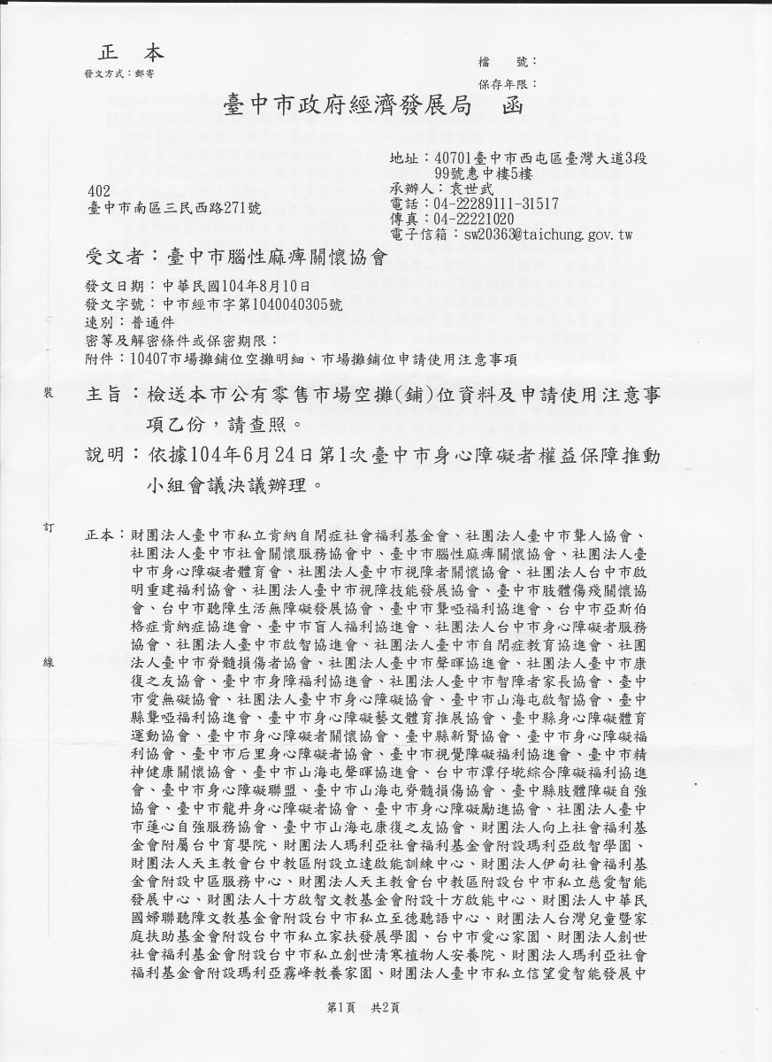
公有市場攤位招租
日期:2015-08-13